北京大学心理与认知科学学院、IDG麦戈文脑科学研究所韩世辉教授课题组在社会心理学期刊《Personality and Social Psychology Bulletin》在线发表题为"Religious afterlife beliefs decrease behavioral avoidance of symbols of morality”的研究论文,揭示了宗教信仰削弱人类死亡回避行为的心理机制。

人们在日常生活中一般避免提到死亡这一话题,居所也远离与死亡有关的物理符号,在中国墓地一般建在远离城市中心的郊野。然而,这样的行为并非在所有国家相同,比如,在宗教信仰较普遍的欧洲城市,墓地可接近城市中心或居所(如图1A示例在英国爱丁堡人们居所与墓地的距离,图1B比较中国和欧洲城市中心火车站与墓地之间距离的差异)。从该现象切入,本研究提出宗教来世信念可能缓解死亡焦虑并削弱死亡回避行为这一假设。


图1

为检验这一科学假设,本研究开发了一个测量工具,即"置词任务”,在一张纸画一个大圆,其中圆心有一个线索词,即‘死亡’,‘疼痛’,或者‘生命’。受试者被要求依次把7个靶词(自己,家人,喜欢的名人,不喜欢的名人,陌生人等)写在圆内,通过测量靶词与线索词之间的距离来量化对死亡符号的回避行为。研究结果发现这些距离能够直观地反映死亡回避倾向(图2B),并且靶词与线索词之间的距离能够预测人们在现实生活中回避死亡相关刺激(譬如:骷髅)的行为(图3)。


图2


图3

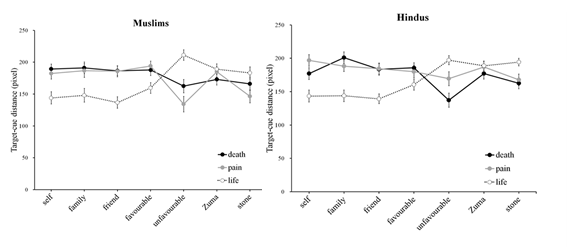
本研究使用置词任务测量了中国基督教徒和非宗教受试者的死亡回避倾向,在线收集了其他宗教信仰教徒(穆斯林、印度教徒和佛教徒)的数据。结果如图4所示,相对于非宗教受试者,宗教受试者在置词任务中表现出对死亡线索回避倾向的显著降低。




图4

为了进一步做出因果推理,本研究招募了非宗教个体,在置词任务前进行来世信念启动,发现来世信念启动显著降低个体的死亡回避倾向,而作为控制条件的世外桃源启动却没有这样的效应(图5)。该结果表明宗教来世信念可以削弱人们的死亡回避行为。


图5

本研究通过大规模的行为数据(N=1590)揭示了宗教来世信念在削弱于死亡回避行为中的作用,为理解宗教影响社会行为的心理机制提供了新视角和实证基础。

课题组已毕业博士研究生范小月和博士后高天宇为本论文共同第一作者,韩世辉教授是本论文通讯作者。本研究得到了国家自然科学基金(31871134)支持。


2022-05-27