近日,北京大学心理与认知科学学院臧寅垠研究员团队在临床心理学顶刊《Psychotherapy and Psychosomatics》(中科院一区TOP, IF=18.1)上发表最新研究成果,题为“An Online Guided Written Exposure Therapy for Symptoms of Posttraumatic Stress Disorder: A Randomized Controlled Trial”。团队自主研发了在线“指导性写作暴露疗法”(Guided Written Exposure, GWE),并通过随机对照试验系统验证了该疗法在中国创伤后应激障碍(PTSD)患者中的可行性、可接受性以及长期效果。

创伤后应激障碍(PTSD)是全球重大公共卫生难题,灾害、事故等突发事件后高发,严重危害个体心理健康和社会功能。我国心理健康服务资源有限,绝大多数PTSD患者难以及时获得专业干预。面对专业人才短缺和城乡服务差距,开发高效、可及的干预手段已刻不容缓。

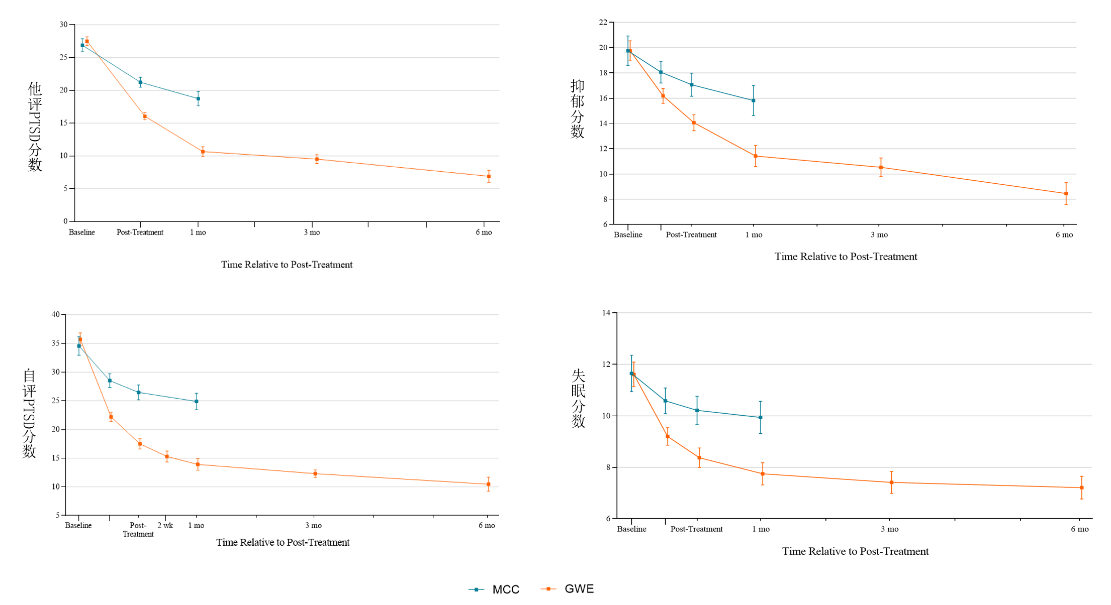
针对上述困境,臧寅垠课题组研发了GWE疗法。该方法融合了叙事暴露疗法(NET)在创伤叙事整合方面的优势,以及写作暴露疗法(WET)结构化、易推广的特点。GWE采用远程视频模式,疗程短(5-8次,总时长5-10小时),引导患者分阶段书写创伤经历,促进情绪加工与记忆整合。疗法特别强化了本土文化适应性,模块化设计便于督导管理,可由受训实习咨询师实施,显著提升了在基层和资源有限地区的推广可行性。

本研究在全国范围内开展随机对照试验,纳入95名符合DSM-5标准的PTSD或亚临床PTSD成人。结果显示,GWE组的耐受性良好,脱落率仅为12.3%,优于国内外多数同类疗法。在疗效方面,GWE在缓解PTSD核心症状方面明显优于对照组,近70%患者实现显著临床改善。同时,GWE对共病抑郁和失眠症状也具有显著改善作用,且效果在6个月随访期内持续稳定。

值得一提的是,本研究的干预与评估工作由正在受训的临床心理学硕士、博士研究生担任咨询师和评估师,进一步体现了该疗法对人才培养和心理健康服务体系建设的推动作用。

该研究证实,GWE作为一种高效、低门槛、可持续的心理干预方案,能够有效填补资源匮乏地区PTSD治疗的空白,具有重要的临床应用与推广价值。

北京大学心理与认知科学学院臧寅垠研究员为通讯作者,博士生李牧阳为第一作者。团队成员还包括赵野、David Rosenfield、国泽宇、魏铭岑、樊时佳、李宇。研究得到国家自然科学基金(青年项目及面上项目)、霍英东基金会、认知神经科学与学习国家重点实验室开放基金等资助。特别感谢本研究60余位本科生、硕士和博士担任研究助理、评估师与咨询师,为研究顺利实施提供了重要支持和贡献。

原文链接:https://doi.org/10.1159/000549609


2025-12-08